CỜ LÊ THỦY LỰC ITH D-FLEX 28 | ITH LOW HYDRAULIC TORQUE WRENCH D-FLEX 28 | 28000 N.m


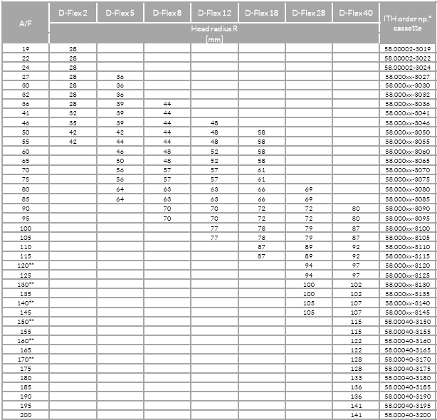
- Cờ lê thủy lực ITH D-Flex 28, ITH low hydraulic torque wrench D-Flex 28: là loại cờ lê thủy lực đầu tròng, chuyên dùng để siết lực chính xác các loại bulong lục giác: 80 - 145 mm, với siết lực max: 8.750 - 28.000 N.m, trong công nghiệp. Cờ lê thủy lực ITH D-Flex 28 hoạt động ở áp < 850 bar, do hãng ITH/Germany sản xuất.
- Cờ lê thủy lực ITH D-Flex 28 chế tạo từ thép cường lực (bằng phương pháp phay, doa nguyên khối), bố trí nhiều gân tăng cứng giúp hoạt động ổn định.
- Với ưu điểm mỏng dẹt nổi bật, cờ lê thủy lực ITH D-Flex 28 siết được các vị trí khó, đặc biệt các bulong có đầu thò ra dài. Thay đổi được nhiều loại tròng trong giải cho phép, thậm chí có thể lắp đầu chuyển đổi sang cờ lê thủy lực dạng đầu chụp.
- Cờ lê thủy lực ITH D-Flex 28 có cụm đầu coupler xoay 1800x3600, cho phép linh hoạt các vị trí gá đặt, cũng như phù hợp với các không gian thao tác. Cặp Coupler chờ tiêu chuẩn 1/4"-NPT, cho phép đấu nối nhanh với ống dây thủy lực theo kiểu vặn ren.
- Khi siết các mặt bích, bề mặt rộng và dài bố trí nhiều bulong, cần tính đồng phẳng cao, đảm bảo kín khít, có thể chọn giải pháp 1 bơm phối cho nhiều cờ lê thủy lực ITH D-Flex 28 hoạt động cùng lúc thông qua bộ chia thủy lực.
- Để phù hợp với các size bulong trong dải cần siết thông thường người ta chọn 1 xylanh cờ lê thủy lực ITH D-Flex 28 (cylinder) phối cho nhiều size tròng cờ lê thủy lực (ratchet link), kết hợp với lót (reducer) để đạt hiệu quả kinh tế tốt hơn. Để tư vấn, chọn lựa tối ưu, hãy liên hệ với chúng tôi.
- Ngoài ra, để chyển đổi sang siết khẩu có thể dùng thêm khẩu chuyển (square driver adaptor) hoặc khẩu chuyển siết lục chìm trực tiếp (male hex adaptor).khẩu chuyển chụp bulong trực tiếp (stark socket) đối với cờ lê thủy lực ITH D-Flex 28.
- Cờ lê thủy lực ITH D-Flex 28 được sản xuất chế tạo & sản xuất bởi ITH | Germany. Made in Germany
- Nhận sửa chữa, phục chế cờ lê thủy lực, bơm thủy lực và cung cấp phụ kiện đầy đủ (gioăng phớt, lò xo, valve) của ITH, Enerpac và các hãng khác. Nhận cung cấp dịch vụ kiểm định test tải trọng, lực siết, áp lực cờ lê thủy lực ITH D-Flex 28 tại các trung tâm kiểm định của Nhà nước và tư nhân, để nhanh chóng đưa cờ lê thủy lực ITH D-Flex 28 tới khách hàng vào sử dụng.
- Cung cấp các loại tròng, lục chìm, đầu chuyển siết bulong, đai ốc cường độ cao (cấp bền cao: 8.8, 10.9, 12.9), phù hợp khi sử dụng cờ lê thủy lực ITH D-Flex 28.
- Cung cấp các loại bơm cờ lê thủy lực nhiều option tùy chọn: nhiều đầu ra, bơm khí nén, các mức điện áp (220V/1ph hoặc 380V/3ph), bơm cờ lê thủy lực phòng chống cháy nổ....phù hợp với từng yêu cầu của khách hàng khi sử dụng cờ lê thủy lực ITH D-Flex 28 đặt ra.
- DKV VIET NAM nhận cung cấp ống dây thủy lực (vật liệu cao su hoặc nylon gia cường) với độ dài bất kỳ (4m, 6m, 8m, 10m, 15m, 20m, 50m...), chuyển đổi coupler sang các kiểu khác, để phù hợp với chuẩn Hytorc, TorcUP, Enerpac, Power Team, Simplex, Plarad, Riken, Hi-Force... mà khách hàng đang sử dụng.
- Ngoài cung cấp cờ lê thủy lực ITH D-Flex 28, chúng tôi còn cung cấp nhiều loại cờ lê thủy lực của nhiều hãng chất lượng: Hytorc, TorcUP, Plarad, Hi-Force hoặc giá rẻ của Wren, DKV HYDRAULIC/China để thỏa mãn sự lựa chọn thêm của khách hàng, phù hợp với tiêu chí của khách hàng đặt ra.
- Giao hàng và service cờ lê thủy lực ITH D-Flex 28 toàn quốc cho mọi khách hàng, hãy liên hệ với chúng tôi tại các văn phòng gần nhất, để được phục vụ.
-
Thông tin sản phẩm niêm yết chính thức tại hãng ITH.

-
Catalogue, thông số kỹ thuật sản phẩm chi tiết xem tại đây.





THÔNG TIN HỖ TRỢ:
- Xuất xứ: ITH GmbH/Germany.
- CO, CQ do nhà sản xuất ITH/Germany cấp.
- Bảo hành: 12 tháng (theo tiêu chuẩn nhà sản xuất).
- Quy cách đóng gói: hộp carton.
- Thời gian giao hàng: 1 - 2 ngày (đối với hàng có sẵn tại Việt nam) , 15 - 45 ngày (đối với hàng không có tại Việt nam, tùy thời điểm đặt hàng). Giao hàng toàn quốc.

- Đơn giá: vui lòng liên hệ với chúng tôi để biết chi tiết.
- Xuất xứ: ITH | Germany
- CO, CQ do nhà sản xuất ITH | Germany cấp. (Option: CO Phòng thương mại Đức).
- Bảo hành: 12 tháng.
- Quy cách đóng gói: hộp thép.
- Thời gian giao hàng: 5 - 7 ngày đối với hàng có sẵn tại Việt nam, 7 - 45 ngày đối với hàng không có sẵn tại Việt nam.
- Giao hàng toàn quốc, vui lòng tham khảo chính sách giao hàng phía dưới website.
- Dịch vụ kiểm định, hiệu chuẩn dán tem trong và ngoài nước ( Option).

































